曾初阳:4:24短期金价在4700美元附近博弈
昨晚消息4月21日跌破4800美元,4月23日早盘失守4700美元。有人慌了,反转来了,国际机构集体看涨年底。摩根士丹利给到5200美元,高盛给到5400美元,为什么跌了还敢看多?权威媒体援引国际货币基金组织数据,全球央行黄金总估值冲到5.6万亿美元,首次超越美元调整后的真实持有价值。央行用脚投票,我方央行3月增持16万盎司,连续17个月买入,波兰,捷克,乌兹别克斯坦都在跟。95%的央行预期未来12个月继续增持,没有一个表示要减持。黄金不会被冻结,不会被制裁。这一轮4700美元附近的回调不是终点,跌破4700美元,日内跌幅超0.8%,美方再次语出惊人,川普称结束冲突没有时间表,否认3天到5天窗口期,下令继续封锁伊方港口,伊方总统回击封锁是谈判的真正障碍,国际油价应声大涨。布伦特原油冲破100美元,美股股指期货跳水,美方3月零售销售环比大增1.7%,强化了高利率预期。美联储提名人沃什明确表态保持货币政策独立性,不会承诺降息,全球最大黄金ETF持仓连续两日减仓,伊朗战争已进入第八周。霍尔木兹海峡局势持续紧绷,油价飙升推高通胀,但高利率压制零息黄金,短期金价在4700美元附近博弈,一旦有效跌破,可能考验4650美元。中长期看,地缘风险长期化,全球央行去美元化进程未变。黄金上涨逻辑依然牢固。
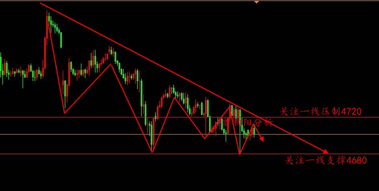
黄金昨天依然是震荡洗盘,急涨急跌,此起彼伏。日线收阴,单看收线今天应该继续回落,但是结合周线,4650不破行情不会大跌,所以今天不排除收阳,日线阴阳转换,继续洗盘。日线压制点4720附近目标4740附近,触及还可以空。一线支撑4680附近,强支撑4660附近,触及可以做。

操作建议:反弹4720空,止损4730,目标4700,回落4680多,止损4670,目标4700-4710。昨天不管多空,都还不错。




曾初阳





