美元指数最初飙升至104.70,但随后稳定在104.50。从积极的一面来看,国内生产总值(GDP)的修正和美国每周强劲的初请失业金人数数据使美元受益。但弱于预期的芝加哥采购经理人指数似乎打压了美元的上涨动力。

美元4小时图,短线走势震荡上行,触及104.40高点。均线系统多头排列,周内短线客观趋势向上。上周汇价有效突破日图下行压力线,周内短线走势整体基调仍以上行节奏为主。
周一亚洲时段金价不断走高,刷新历史高点 2,260 美元以上。金价受益于复活节假期驱动的流动性稀薄以及美联储降息预期的增强。强劲的中国财新制造业采购经理人指数也令黄金交易者欢欣鼓舞。

黄金4小时图,金价继续保持一路飙升的节奏,创历史新高2260以上。今日开盘金价继续上扬,周内黄金短线客观趋势向上不变。上行动能表现充足,金价出现超买的迹象,预计周内存在一定回调整理,最终方向向上。
WTI油价连续第三个交易日上涨,周一亚洲交易时段该商品交易价格约为每桶 83.10 美元。原油价格持续上涨的原因是石油输出国组织及其盟友(OPEC+)减产造成的供应限制。

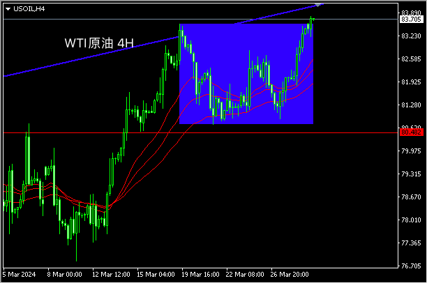
原油4小时图,短线走势重回区间上沿且突破上沿阻力。均线系统多头排列,周内短线客观趋势恢复向上节奏。周内前期关注油价突破上沿后上涨节奏的连续性,预计快速调整后,原油走势将继续上涨。
免责声明:观点分享,仅供参考,不构成投资建议。投资有风险,盈亏须自负。





主次节奏





